159彩票网

欢迎光临 [ 无锡市贝润风机制造有限公司 ] 官方网站!

4-79型离心风机

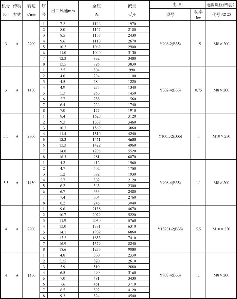
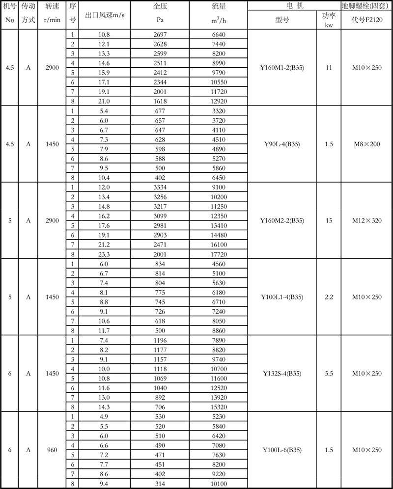
4-79性能与选用件表